索 引 号:
信息分类:
公示公告
发布机构:
发布日期:
2025-12-01
标题:
新荣区人民政府关于禁止开垦陡坡地范围的公告
文号:
时效:
新荣区人民政府关于禁止开垦陡坡地范围的公告
发布时间:2025-12-01
来源:新荣区
为预防和治理水土流失,保护和合理利用水土资源,根据《中华人民共和国水土保持法》《山西省实施〈中华人民共和国水土保持法〉办法》有关规定,结合我区实际,划定了连片范围在5公顷以上的全区禁止开垦陡坡地范围。现将有关事项公告如下:
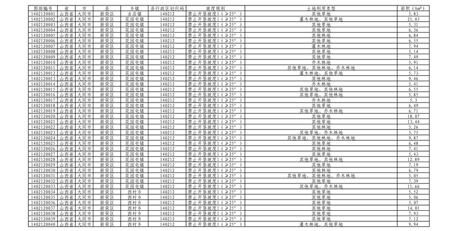
一、依据水利部《禁止开垦陡坡地范围划定技术指南》,划定连片范围在5公顷以上的禁止开垦陡坡地面积3.1337平方公里。具体分布范围和面积见附件。
二、禁止在二十五度以上陡坡地开垦种植农作物。在二十五度以上陡坡地种植经济林的,应当科学选择树种,合理确定规模,采取水土保持措施,防止造成水土流失。
三、违反本公告规定,在二十五度以上陡坡地开垦种植农作物的,按照《中华人民共和国水土保持法》《山西省实施〈中华人民共和国水土保持法〉办法》予以处罚。
四、本公告自发布之日起执行。
特此公告。
附件:1.新荣区禁止开垦陡坡地附图.pdf
附件1:
新荣区禁止开垦陡坡地范围图
![]() |
附件2:
新荣区禁止开垦陡坡地范围表
![]() |
扫一扫在手机上查看当前页面

三晋通APP


晋公网安备14021202000000 号